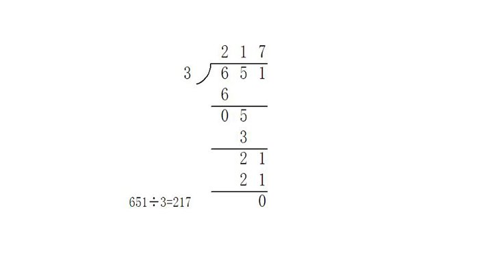
651÷3的竖式的写法:1、把651除以3按照竖式计算的格式写好;2、从最高位开始计算:百位上:6÷3=2,把得数2写在竖式除号上的百位上;3、十位上:5÷3=1……2,把得数1写在竖式除号上的十位上;4、个位上:把上一次十位计算的余数2和个位上的1合并计算,即21除以3,得数为7,把得数7写在竖式除号上的个位上,即651÷3=217 。

文章插图
如何判断能否被3整除
能否被3整除的数的判断方法是:把该数中的所有数字加起来(又称数码之和),若这个结果能够被3整除,则该数字能被3整除 。

文章插图
651÷3是整除吗
【651÷3的竖式怎么写 651÷3的竖式】651÷3是整除 。按照整除的定义:若整数b除以非零整数a , 商为整数,且余数为零, 我们就说b能被a整除 。因为651÷3的余数为0 , 所以651÷3是整除 。在整数除法中 , 除数要小于被除数才能进行,当被除数不超过两位数,除数是一位数,而商也是一位数时 , 可根据乘法口诀直接得出商和余数(余数可能是零) , 称其为表内除法;被除数超过两位数的除法,称为多位数除法 。
- 氢氧化钙的作用和用途 氢氧化钙有什么用途
- 硫酸氢钠在水中的电离方程式硫酸氢钠在水中的电离方程式是什么
- 竹石翻译文竹石的意思
- 芒种的简笔画怎么画芒种的简笔画教程
- 十二和三十的最小公倍数 十二和三十的最小公倍数是什么
- **简笔画 **简笔画怎么画
- 圆的由来 圆周率的由来
- 桥头堡作用比喻什么 什么叫桥头堡作用
- 11和54的最小公倍数是多少 11和54的最小公倍数是什么
- 武的第三笔是什么 武的第三笔是啥
